随机链表的复制
给你一个长度为 n 的链表,每个节点包含一个额外增加的随机指针 random ,该指针可以指向链表中的任何节点或空节点。
构造这个链表的 深拷贝。 深拷贝应该正好由 n 个 全新 节点组成,其中每个新节点的值都设为其对应的原节点的值。新节点的 next 指针和 random 指针也都应指向复制链表中的新节点,并使原链表和复制链表中的这些指针能够表示相同的链表状态。复制链表中的指针都不应指向原链表中的节点 。
例如,如果原链表中有 X 和 Y 两个节点,其中 X.random --> Y 。那么在复制链表中对应的两个节点 x 和 y ,同样有 x.random --> y 。
返回复制链表的头节点。
用一个由 n 个节点组成的链表来表示输入/输出中的链表。每个节点用一个 [val, random_index] 表示:
val:一个表示Node.val的整数。random_index:随机指针指向的节点索引(范围从0到n-1);如果不指向任何节点,则为null。
你的代码 只 接受原链表的头节点 head 作为传入参数。
示例 1:

输入:head = [[7,null],[13,0],[11,4],[10,2],[1,0]] 输出:[[7,null],[13,0],[11,4],[10,2],[1,0]]
示例 2:

输入:head = [[1,1],[2,1]] 输出:[[1,1],[2,1]]
示例 3:

输入:head = [[3,null],[3,0],[3,null]] 输出:[[3,null],[3,0],[3,null]]
方法一: 哈希表
思路
1. 边界检查:
- 如果链表为空,直接返回
None。
2. 第一遍:复制节点并建立映射:
- 遍历链表,逐个复制节点并建立
node_dict映射关系:key: 原链表的节点。value: 对应的新链表节点。
- 同时建立新链表的
next链接。
3. 第二遍:复制 random 指针:
- 再次遍历原链表,使用
node_dict快速找到对应的新链表节点,设置random指针。
4. 返回结果:
- 返回新链表的头节点
new_head。
代码
class Solution:
def copyRandomList(self, head: 'Optional[Node]') -> 'Optional[Node]':
if not head: # 如果链表为空,直接返回 None
return None
# 第一遍:复制节点并建立映射关系
node_dict = {}
cur = head
new_head = Node(cur.val)
node_dict[cur] = new_head
new_cur = new_head
while cur.next:
next_node = Node(cur.next.val) # 创建新节点
new_cur.next = next_node # 建立 next 链接
node_dict[cur.next] = next_node # 记录原节点与新节点的映射
cur = cur.next
new_cur = new_cur.next
# 第二遍:处理 random 指针
cur = head
new_cur = new_head
while cur:
if cur.random: # 如果当前节点的 random 指针非空
new_cur.random = node_dict[cur.random] # 设置新链表的 random
cur = cur.next
new_cur = new_cur.next
return new_head # 返回新链表的头节点
Python复杂度
- 时间复杂度:O(n)
- 第一遍遍历链表 O(n) 复制节点并建立映射。
- 第二遍遍历链表 O(n) 复制
random指针。 - 总复杂度为 O(n)。
- 空间复杂度:O(n)
- 使用了一个字典存储原链表节点到新链表节点的映射,额外占用 O(n)O(n)O(n) 空间。
优化点
如果需要优化空间复杂度,可以采用“链表节点插入法”(即将新节点直接插入到原节点后),实现 O(1) 空间复杂度的解决方案。
方法二: 拼接 + 拆分
思路
第一步:插入新节点:
- 在每个原节点后插入一个复制节点,形成交替结构: rust复制代码原链表:1 -> 2 -> 3
插入后:1 -> 1′ -> 2 -> 2′ -> 3 -> 3′
第二步:设置 random 指针:
- 利用插入后的交替结构,直接访问
cur.random.next来设置新节点的random: 1′.random = 1.random.next
第三步:分离链表:
- 通过
cur.next恢复原链表。 - 通过
new_cur.next分离出复制链表。
分离后:
原链表:1 -> 2 -> 3
复制链表:1' -> 2' -> 3'
处理链表末尾:
- 在最后一个节点时,直接处理
cur.next和new_cur.next,避免出现AttributeError。
代码
class Solution:
def copyRandomList(self, head: 'Optional[Node]') -> 'Optional[Node]':
if head is None: # 如果链表为空,直接返回 None
return None
# 第一遍:在原链表中插入新节点
cur = head
while cur:
temp = cur.next
cur.next = Node(cur.val, temp)
cur = temp
# 第二遍:设置新节点的 random 指针
cur = head
while cur:
if cur.random:
cur.next.random = cur.random.next
cur = cur.next.next
# 第三遍:将新链表与原链表分离
cur = head
new_head = head.next # 新链表的头节点
new_cur = new_head
while cur:
cur.next = cur.next.next # 恢复原链表
if new_cur.next: # 更新新链表的 next
new_cur.next = new_cur.next.next
cur = cur.next
new_cur = new_cur.next
return new_head
Python你的代码使用的是链表节点插入法,来复制带随机指针的链表。这种方法的空间复杂度为 O(1)O(1)O(1),非常高效。然而,在最后一步将两个链表分开时,代码逻辑存在一些问题,需要调整。
问题分析
- 分离链表的逻辑有误:
- 在以下代码段: python复制代码cur = cur.next.next
next_new_cur = new_cur.next.next
new_cur.next = next_new_curcur.next.next和new_cur.next.next可能会在最后一个节点上引发AttributeError,因为链表末尾的next是None。 - 同时,分离链表时逻辑不够简洁,可以通过更直接的方式实现。
- 在以下代码段: python复制代码cur = cur.next.next
- 代码结构优化:
- 在链表分离逻辑中可以减少冗余判断,并直接处理边界条件。
改进后的代码
python复制代码class Solution:
def copyRandomList(self, head: 'Optional[Node]') -> 'Optional[Node]':
if head is None: # 如果链表为空,直接返回 None
return None
# 第一遍:在原链表中插入新节点
cur = head
while cur:
temp = cur.next
cur.next = Node(cur.val, temp)
cur = temp
# 第二遍:设置新节点的 random 指针
cur = head
while cur:
if cur.random:
cur.next.random = cur.random.next
cur = cur.next.next
# 第三遍:将新链表与原链表分离
cur = head
new_head = head.next # 新链表的头节点
new_cur = new_head
while cur:
cur.next = cur.next.next # 恢复原链表
if new_cur.next: # 更新新链表的 next
new_cur.next = new_cur.next.next
cur = cur.next
new_cur = new_cur.next
return new_headPython改进点说明
- 第一步:插入新节点:
- 在每个原节点后插入一个复制节点,形成交替结构: rust复制代码原链表:1 -> 2 -> 3
插入后:1 -> 1′ -> 2 -> 2′ -> 3 -> 3′
- 在每个原节点后插入一个复制节点,形成交替结构: rust复制代码原链表:1 -> 2 -> 3
- 第二步:设置
random指针:- 利用插入后的交替结构,直接访问
cur.random.next来设置新节点的random: 1′.random = 1.random.next
- 利用插入后的交替结构,直接访问
- 第三步:分离链表:
- 通过
cur.next恢复原链表。 - 通过
new_cur.next分离出复制链表。
复制链表:1′ -> 2′ -> 3′ - 通过
- 处理链表末尾:
- 在最后一个节点时,直接处理
cur.next和new_cur.next,避免出现AttributeError。
- 在最后一个节点时,直接处理
复杂度
- 时间复杂度:O(n)
- 每个节点被遍历三次:插入新节点、设置
random指针、分离链表。 - 总时间复杂度为 O(n)。
- 每个节点被遍历三次:插入新节点、设置
- 空间复杂度:O(1)
- 不使用额外的存储结构,只操作链表本身。
排序链表
给你链表的头结点 head ,请将其按 升序 排列并返回 排序后的链表 。
示例 1:

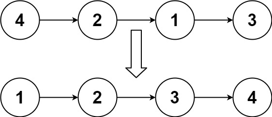
输入:head = [4,2,1,3]
输出:[1,2,3,4]
示例 2:

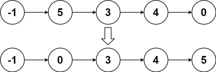
输入:head = [-1,5,3,4,0]
输出:[-1,0,3,4,5]
示例 3:
输入:head = []
输出:[]
方法一: 归并排序
思路分析
- 拆分链表:
- 使用
middleNode函数,采用快慢指针找到链表的中点,并将链表分成两部分。slow是中点前的节点,slow.next被断开,实现链表的拆分。
- 使用
- 递归排序:
- 对两个子链表分别调用
sortList进行递归排序,直到链表长度为 1(递归基)。
- 对两个子链表分别调用
- 合并两个有序链表:
- 使用
mergeTwoLists函数合并两个已排序的子链表,构建有序链表。
- 使用
代码
class Solution:
# 876. 链表的中间结点(快慢指针)
def middleNode(self, head: Optional[ListNode]) -> Optional[ListNode]:
slow = fast = head
# 先找到链表的中间结点的【前一个节点】
while fast.next and fast.next.next:
slow = slow.next
fast = fast.next.next
mid = slow.next # 下一个节点就是链表的中间结点 mid
slow.next = None # 断开 mid 的前一个节点和 mid 的连接
return mid
# 21. 合并两个有序链表(双指针)
def mergeTwoLists(self, list1: Optional[ListNode], list2: Optional[ListNode]) -> Optional[ListNode]:
cur = dummy = ListNode() # 用哨兵节点简化代码逻辑
while list1 and list2:
if list1.val < list2.val:
cur.next = list1 # 把 list1 加到新链表中
list1 = list1.next
else: # 注:相等的情况加哪个节点都是可以的
cur.next = list2 # 把 list2 加到新链表中
list2 = list2.next
cur = cur.next
cur.next = list1 if list1 else list2 # 拼接剩余链表
return dummy.next
def sortList(self, head: Optional[ListNode]) -> Optional[ListNode]:
# 如果链表为空或者只有一个节点,无需排序
if head is None or head.next is None:
return head
# 找到中间节点,并断开 head2 与其前一个节点的连接
# 比如 head=[4,2,1,3],那么 middleNode 调用结束后 head=[4,2] head2=[1,3]
head2 = self.middleNode(head)
# 分治
head = self.sortList(head)
head2 = self.sortList(head2)
# 合并
return self.mergeTwoLists(head, head2)Python你的代码实现了基于递归的归并排序来对链表进行排序。以下是代码的思路、时间复杂度分析以及需要优化或注意的点。
思路分析
- 拆分链表:
- 使用
middleNode函数,采用快慢指针找到链表的中点,并将链表分成两部分。slow是中点前的节点,slow.next被断开,实现链表的拆分。
- 使用
- 递归排序:
- 对两个子链表分别调用
sortList进行递归排序,直到链表长度为 1(递归基)。
- 对两个子链表分别调用
- 合并两个有序链表:
- 使用
mergeTwoLists函数合并两个已排序的子链表,构建有序链表。
- 使用
复杂度
时间复杂度
- 递归深度:每次递归将链表长度减半,递归深度为\log n。
- 每层操作:
mergeTwoLists函数需要遍历并合并两个子链表,耗时 O(n)。 - 总复杂度为 O(n \log n)。
空间复杂度
- 递归调用占用的栈空间:由于递归深度为 \log n,因此空间复杂度为 O(\log n)。
- 合并操作没有使用额外的空间,符合链表的原地操作特性。