相交链表
给你两个单链表的头节点 headA 和 headB ,请你找出并返回两个单链表相交的起始节点。如果两个链表不存在相交节点,返回 null 。
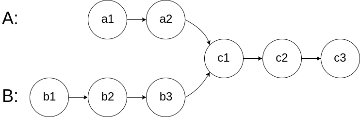
图示两个链表在节点 c1 开始相交:

题目数据 保证 整个链式结构中不存在环。
注意,函数返回结果后,链表必须 保持其原始结构 。
输入:intersectVal = 8, listA = [4,1,8,4,5], listB = [5,6,1,8,4,5], skipA = 2, skipB = 3
输出:Intersected at '8'
解释:相交节点的值为 8 (注意,如果两个链表相交则不能为 0)。
从各自的表头开始算起,链表 A 为 [4,1,8,4,5],链表 B 为 [5,6,1,8,4,5]。
在 A 中,相交节点前有 2 个节点;在 B 中,相交节点前有 3 个节点。
— 请注意相交节点的值不为 1,因为在链表 A 和链表 B 之中值为 1 的节点 (A 中第二个节点和 B 中第三个节点) 是不同的节点。换句话说,它们在内存中指向两个不同的位置,而链表 A 和链表 B 中值为 8 的节点 (A 中第三个节点,B 中第四个节点) 在内存中指向相同的位置。
首次尝试
代码
# Definition for singly-linked list.
# class ListNode:
# def __init__(self, x):
# self.val = x
# self.next = None
class Solution:
def getIntersectionNode(self, headA: ListNode, headB: ListNode):
currentA = headA
while currentA is not None:
currentB = headB # 注意这里更新currentB
while currentB is not None:
if currentA is currentB: #注意这里比较地址
return currentA
currentB = currentB.next
currentA = currentA.next
return NonePython问题
时间复杂度高:代码会导致时间复杂度为 O(m×n),其中 m 和 n 是两个链表的长度。当两个链表很长时,这种方法效率低下。
改进
class Solution:
# 方法:双指针法
def getIntersectionNode(self, headA: ListNode, headB: ListNode):
if not headA or not headB:
return None
pointerA = headA
pointerB = headB
# 两个指针循环移动,直到相遇或到达链表尾部
while pointerA != pointerB:
# 如果 pointerA 遍历到链表结束,则从 headB 开始重新遍历
pointerA = pointerA.next if pointerA else headB
# 如果 pointerB 遍历到链表结束,则从 headA 开始重新遍历
pointerB = pointerB.next if pointerB else headA
# 返回相交的节点或者 None
return pointerAPython反转链表
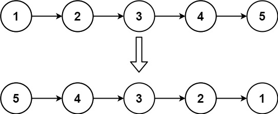
给你单链表的头节点 head ,请你反转链表,并返回反转后的链表。
示例 1:

输入:head = [1,2,3,4,5]
输出:[5,4,3,2,1]
示例 2:

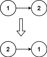
输入:head = [1,2]
输出:[2,1]
示例 3:
输入:head = []
输出:[]
双指针
代码
# Definition for singly-linked list.
# class ListNode:
# def __init__(self, val=0, next=None):
# self.val = val
# self.next = next
class Solution:
def reverseList(self, head: Optional[ListNode]) -> Optional[ListNode]:
preNode = None
currentNode = head
# nextNode = None
while currentNode != None:
nextNode = currentNode.next
currentNode.next = preNode
preNode = currentNode
currentNode = nextNode
return preNodePython回文链表
给你一个单链表的头节点 head ,请你判断该链表是否为
回文链表
。如果是,返回 true ;否则,返回 false 。
示例 1:

输入:head = [1,2,2,1]
输出:true
示例 2:

输入:head = [1,2]
输出:false
首次尝试
遍历链表:
- 使用一个空列表
l1存储链表的值。 - 遍历链表,将每个节点的值添加到列表
l1中。
构造反转列表:
- 使用切片操作
l1[:]创建l2,这是原列表的副本。 - 调用
l2.reverse()将副本列表反转。
比较两个列表:
- 如果
l1和l2相等,说明链表是回文,返回True。 - 否则返回
False。
# Definition for singly-linked list.
# class ListNode:
# def __init__(self, val=0, next=None):
# self.val = val
# self.next = next
class Solution:
def isPalindrome(self, head: Optional[ListNode]) -> bool:
l1 = []
currentNode = head
while currentNode != None:
l1.append(currentNode.val)
currentNode = currentNode.next
l2 = l1[:]
l2.reverse()
if l1 == l2:
return True
else:
return FalsePython复杂度
时间复杂度
- 遍历链表:遍历链表一次需要 O(n),其中 n 是链表的长度。
- 列表反转:反转列表需要 O(n)。
- 列表比较:比较两个列表需要 O(n)。
总时间复杂度为 O(n)。
空间复杂度
额外空间:创建了两个列表 l1 和 l2,每个列表占用 O(n) 的空间。
总空间复杂度为 O(n)
改进
思路
- 找到链表的中间节点: 使用快慢指针(
slow和fast),slow每次走一步,fast每次走两步。当fast到达链表尾部时,slow恰好在链表的中间。 - 翻转后半部分链表: 从中间节点开始,将后半部分的链表翻转。翻转后,后半部分的链表会变成反向顺序。
- 比较前半部分和后半部分: 遍历翻转后的链表与原链表的前半部分,逐个比较节点的值。如果有任何值不相等,则返回
False;如果比较完成没有问题,则返回True。
代码
# Definition for singly-linked list.
# class ListNode:
# def __init__(self, val=0, next=None):
# self.val = val
# self.next = next
class Solution:
def isPalindrome(self, head: Optional[ListNode]) -> bool:
# 1. 找到链表的中间节点
slow = fast = head
while fast and fast.next:
slow = slow.next # 慢指针每次走一步
fast = fast.next.next # 快指针每次走两步
# 2. 翻转链表的后半部分
curNode = slow # 从中间节点开始翻转
preNode = None # 用于反转链表的前置节点
while curNode:
nextNode = curNode.next # 暂存下一节点
curNode.next = preNode # 当前节点指向前一个节点
preNode = curNode # 前置节点更新为当前节点
curNode = nextNode # 当前节点更新为下一节点
# 3. 比较链表的前半部分和翻转后的后半部分
# preNode 此时指向翻转后的链表头部
while preNode: # 遍历后半部分(长度较短)
if preNode.val != head.val: # 对应位置的值不相等
return False
preNode = preNode.next # 后半部分向前移动
head = head.next # 前半部分向前移动
# 4. 如果所有节点都匹配,返回 True
return TruePython复杂度
- 时间复杂度:O(n)
- 找到中间节点 O(n/2)
- 翻转链表 O(n/2)
- 比较链表 O(n/2)
- 总体为 O(n)
- 空间复杂度:O(1)
- 没有使用额外的数据结构,翻转和比较操作均在链表本身完成。
参考
看到评论区有人说,如果链表长度是奇数,检查是否是回文时(
if (head->val != head2->val)),从head2开始的序列比head开始的序列要长。例如:[1, 2, 3, 4, 5],按照大佬的实现,mid应该指向3,然后经过反转head2 = [5, 4, 3],看起来比从head开始的序列[1, 2]还多一个。假如是这样的话,就算给定的是一个回文序列也会因为长度不同而判false吧?
实际上, reverseList 并没有砍断2到3之间的连接,而是“藕断丝连”被拉长了,所以head开始的序列应该是[1, 2, 3](注意3的 next 已经被 reverseList 函数设为NULL了)